반응형

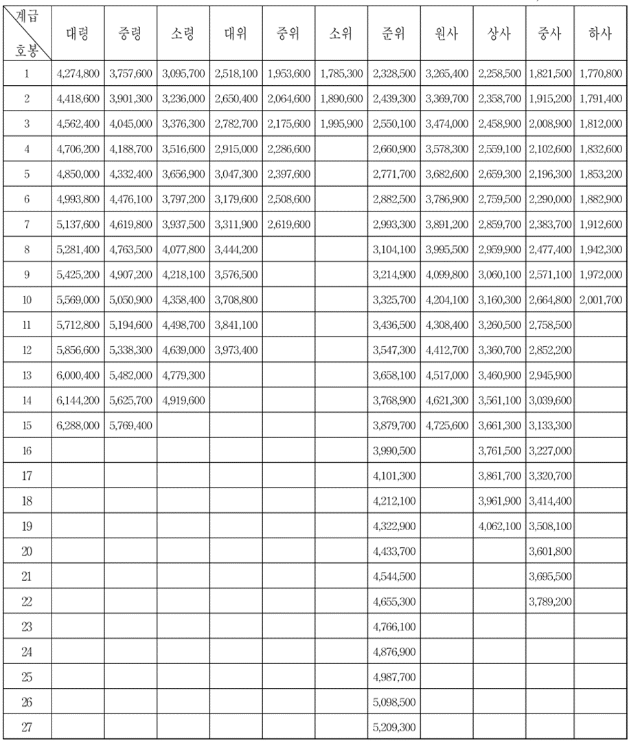
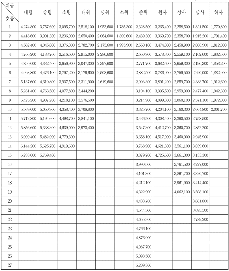
2023년 직업군인 봉급
2023년 직업군인 봉급표와 병사 월급(이등병·일병·상병·병장)이 공개되었습니다. 무엇보다 병사(사병) 급여가 병장이 100만원(사회진출금 포함 시 130만원)까지 인상니 확정이 되는 등 많은 변화가 생겼습니다. 따라서 이제 젊은 장병들의 18개월이란 군 생활이 경제적으로 조금이나마 보상을 받게 되었습니다. 그럼 2023년 계급별 직업군인(장교/부사관) 월급과 연봉환산 그리고 병사들의 월급 인상현황에 대하여 알아보겠습니다.
2023년 직업군인 월급
2023년에는 다른 공무원과 마찬가지로 직업군인도 월급이 1.7% 인상되었습니다.

2023년 대령,준장,소장 월급

사관생도, 후보생 월급
- 사관생도: 1학년 810,000원, 2학년 900,000원, 3학년 1,000,000원, 4학년 1,100,000원
- 부사관후보생 및 입영훈련 중인 학생군사교육단 3학년 사관후보생: 1,000,000원, 입영훈련 중인 학생군사교육단 4학년 사관후보생: 1,100,000원
- 본인의 지원에 의하지 않고 임용된 하사: 1,000,000원
- 공군항공과학고등학교: 1학년 512,000원, 2학년 640,000원, 3학년 800,000원
- 병: 이등병 600,000원, 일등병 680,000원, 상등병 800,000원, 병장 1,000,000원
반응형
'Economy Information' 카테고리의 다른 글
| 다자녀 특별공급 신청 자격 조건과 선정 점수 (0) | 2023.01.10 |
|---|---|
| 2023 부모급여 신청하기 (0) | 2023.01.10 |
| 북앤라이프 도서문화상품권 사용하기(ft.카카오톡) (0) | 2022.12.04 |
| 소녀시대 태연 속인 2500억 기획부동산 일당 재송치 (2) | 2022.11.28 |
| 카타르 월드컵 기념 다양한 응원 기획전 진행 (0) | 2022.11.24 |